
项目情况概述
山东某焦化厂3台煤气鼓风机采用两用一备共母管的运行方式,每台风机配置一台高压变频器实现工艺对风量的调节。变频器采用一拖一自动工频旁路配置方式。客户自行在工频回路中配置液阻软启动装置,期望提高系统可靠性。实际运行中如果某台设备出现故障,变频器切 换至工频回路时,风机带载经液阻柜会再次经历一次启动过程。因液阻柜会产生一定的压降,风机转速会先下降一定幅度,然后快速提升至额定转速,在这个过程中会造成系统风量的急剧变化,风机震动大,风机轴承磨损严重。在液阻柜启动至额定转速切换瞬间电网会受到较大冲击,有时甚至无法完成切换,严重时将会造成上级断路器跳闸,对生产造成较大有影响。
现场工艺流程介绍
焦化厂煤气鼓风机属于焦化系统关键风机,对拖动改风机变频设备的 可靠性和稳定性要求较高 ,非计划停机一次可造成焦化炉内隔热材料严重受损,炉内结焦,造成重大经济损失,且会造成大量烟尘,在环保要求越来越严的情况下,严重的情况下会造成企业停产整顿,造成不可挽回的损 失,在此基础上我们提出双机热冗余高压变频器自动切换控制系统,经过现场的实际应用,证明该系统大大提高了煤气鼓风机运行的可靠性,具有广泛的应用推广价值,并产生可观的社会经济效益。

为了改善设备的运行情况,增加煤气鼓风机的稳定性和提高系统的冗余,经过我方的现场考察,确定采用希望伟德体育官方网站双机热冗余高压变频器双向自由切换系统,代替原来的系统运行方式。本次主要针对3台煤气鼓风机变频系统进行升级改造。
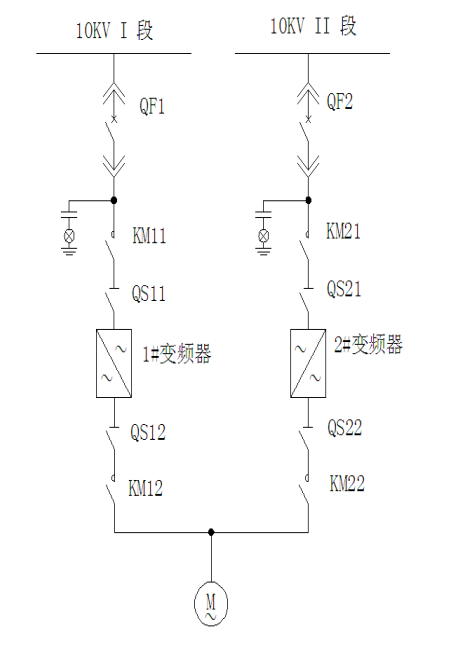
系统原理图

双机热冗余系统主回路原理图
考虑设备检修及供电冗余,两台变频器供电分别由 10KV I 段 QF1 和 10KV II 段 QF2 提供。
互锁及要求:
QS11、QS12、QS21、QS22 为隔离刀闸,在系统中形成明显断点, 提高检修安全性。非检修状态时,一直处于合闸位置。
QS11 与 KM11、QS12 与 KM12、QS21 与 KM21、QS22 与 KM22 相互联锁。
KM11 与 KM12、KM21 与 KM22 相互联锁。
合闸顺序:先合 QF1/QF2 ,再合 KM11/KM21 ,最后合 KM12/KM22。 分闸顺序:先分 KM12/KM22 ,再分 KM11/KM21 ,最后分 QF1/QF2。
系统控制方案

系统控制原理图
本项目采用2台型号为 SBH-100-500T2 高压变频器,配置一台协调 柜,接受来自 DCS 或协调柜本机触摸屏的控制信号。系统自动选择1号或者2号作为主机拖动电机运行,另一台高压变频器处于热冗余状态。当 需要手动切换至备用机运行或 1#机需要检修时,可自动切换至2#运行。
双机热冗余技术方案特点:
1、 采用协调柜对两台变频器进行协调控制,与现行其他方式的主从技术方案相比,系统冗余性更强,可靠性更高,切换速度更快。
2、 协调系统与变频器之间采用高速通讯模块,与传统采用RS485、硬接线等技术方案相比,数据传输速度更快,抗干扰能力更强。
3、 技术方案中无限流或均流作用器件,进一步提高系统可靠性。
4、 双机热冗余技术真正从系统原理上实现了冗余,任何部件的损坏或异常,不影响系统正常运行。
5、 一键切换功能,使设备使用简单,避免因人为操作原因而导致的系统故障。
6、 切换过程毫秒级,整个切换过程平滑无冲击,负载无任何波动,可 任意方向切换,不受切换次数等任何条件限制,是真正的无扰动双 向自由投切,对生产无任何影响。
技术应用意义

双机热冗余系统在切换过程时 ,两台变频器输出电流的切换时间为170μs,相当于在接到切换指令后,在一个中断周期内即可完成变频器输出模式切换。对电机、工艺完全没影响,可靠性极高。对于煤气鼓风机、 锅炉给水泵等重要负载的长期稳定性运行有积极作用。
项目推广价值
希望伟德体育官方网站第三代 SBH 高压变频器双机热冗余系统具有精度高、速度快、能够自动识别电机旋转方向等特点。切换时间达ms级,该系统可大大增强系统可靠性,切换过程平滑无任何电气和机械冲击,对正常生产无任何影响,真正实现了双向自由切换的无扰动,可大大提高负载使用寿命,充分保证生产的连续稳定性,特别适合各行业关键性负载上的使用。

应用成效

协调柜运行画面

变频器运行画面
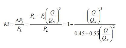
根据 GB 12497《三相异步电动机经济运行》强制性国家标准实施监督指南中的计算公式,即: 对风机、泵类平方转矩负载 ,采用挡板调节流 量对应电机输入功率 PL 与流量 Q 的修正关系为:
式中:Pe——额定流量时电机输入功率 kWQN——额定量
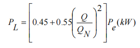
若流量的调节范围( 0.5~1 )QN,则节电率可按下式估算 :

如图所示 :当风机的实际风量 Q 与额定风量之比 Q/QN 约为0.75时,现采用双机热冗余方案调速时 ,其节电率:
考虑到双机热冗余系统的综合效率为 94% ,经计算验证,改造后变频系统对比原来工频系统工作,节电率达38%。
项目案例经验:
因两台变频器的供电不在同一段上,输入相序不完全一致,在变频器 切换过程中,对转速跟踪的速度要求较高,需要快速准确的跟踪。当 1# 变频停止给电机供电,电机因惯性在定子端产生感应电,若2#变频器运行时不能快速准确地跟踪感应电的相序,切换瞬间将会造成冲击,严重时 切换无法顺利完成。因此,要求两台变频器输出具有极高同步性,并且能在长时间运行过程中不断调节。